В образовательном учреждении проводится смотр организации и качества питания. Родители классов посещают приемы и в утвержденном журнале пишут отзывы. За 10 дней родительской общественностью проводятся контрольные мероприятий, по итогам которых оформляются отзывы.
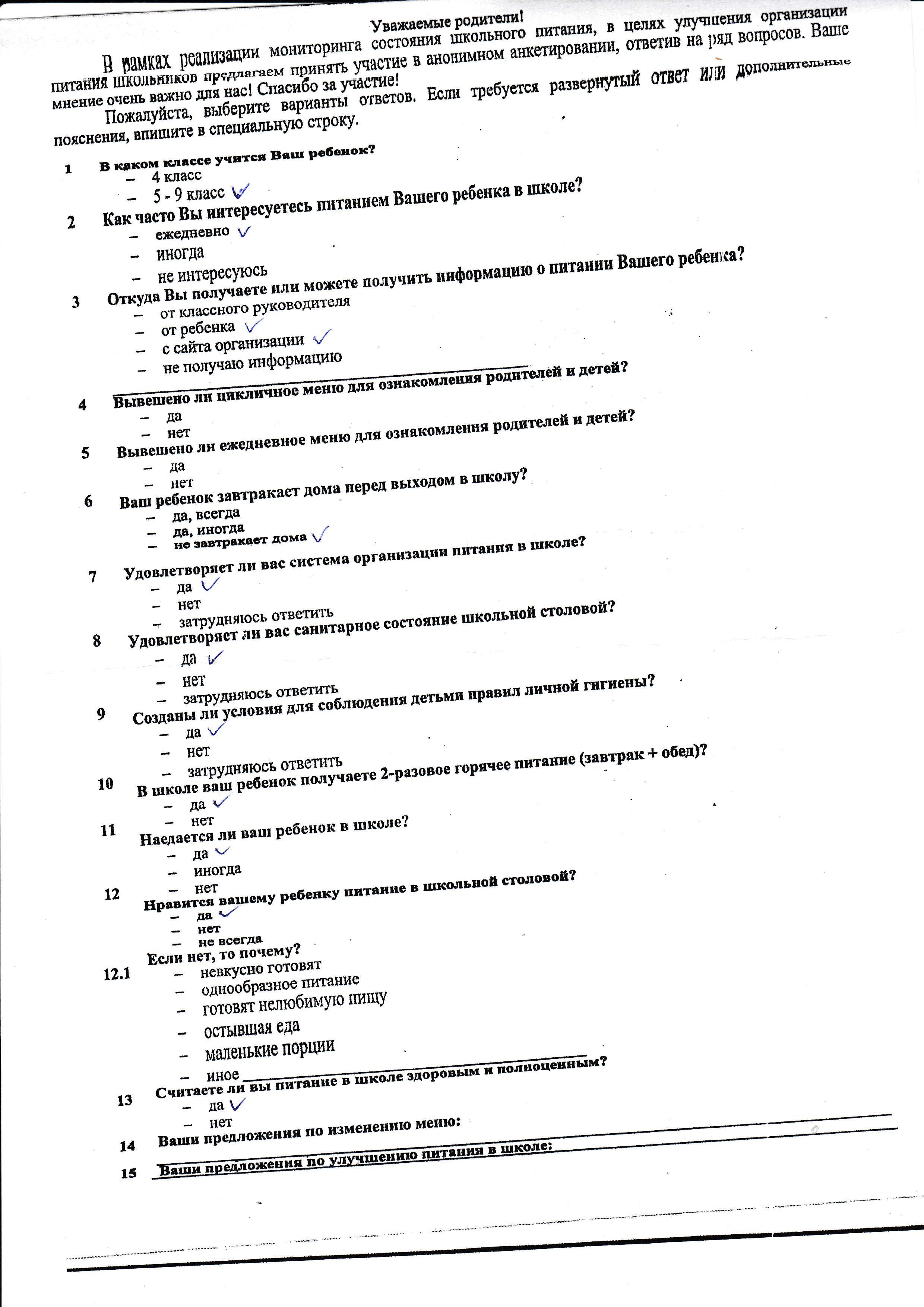
Анкетирование для родителей «Школьное питание глазами родителей».
Проведен анализ анкет родителей в рамках мониторинга школьного питания, в целях улучшения организации питания школьников учреждения в декабре 2025 года.
В анкетировании приняло 100% родителей учащихся 1-4 классов. Были выявлены пожелания родителей по улучшению питания детей в школьной столовой
Необходимо:
1. Классным руководителям вести разьяснительную работу с родителями по поиску нужной информации на сайте школы.
2. Выступить на родительском собрании по теме "Школьное питание детей".
3. По результатам родительского контроля замечаний по качеству питания не выявлено.
Расписание уроков
Информация для родителей
Организация питания в школе
Информация для сотрудников












